詩詞 [閨秀詞鈔卷五目]
| 原書: 閨秀詞鈔﹕十六卷(清徐乃昌輯) |
| 作品圖片: |
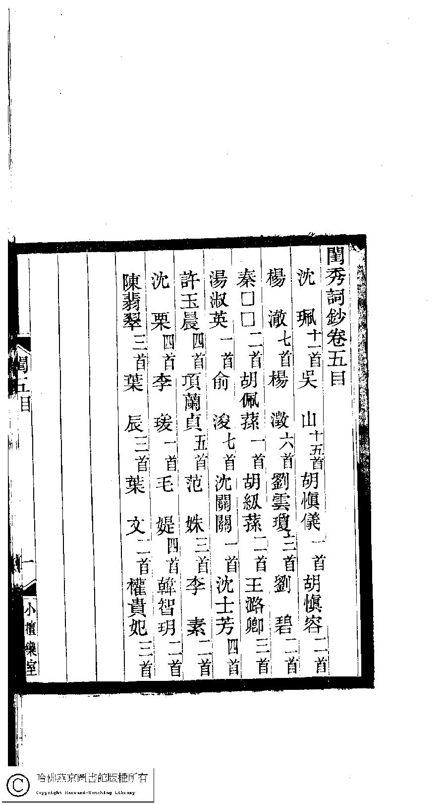
| (PRINT FRIENDLY VERSION) 閨秀詞鈔﹕十六卷(清徐乃昌輯)。清宣統元年(1909)小檀欒室刻本。 ![]() 頁碼 : 5.目.1b | 点 击 放 大 | 閨秀詞鈔﹕十六卷(清徐乃昌輯)。清宣統元年(1909)小檀欒室刻本。![]() 頁碼 : 5.目.1a | 点 击 放 大 | 返回 |
|---|
| 原書: 閨秀詞鈔﹕十六卷(清徐乃昌輯) |
| 作品圖片: |
| (PRINT FRIENDLY VERSION) 閨秀詞鈔﹕十六卷(清徐乃昌輯)。清宣統元年(1909)小檀欒室刻本。 ![]() 頁碼 : 5.目.1b | 点 击 放 大 | 閨秀詞鈔﹕十六卷(清徐乃昌輯)。清宣統元年(1909)小檀欒室刻本。![]() 頁碼 : 5.目.1a | 点 击 放 大 | 返回 |
|---|