詩詞 [南浦 ﹕見雪和夫子]
| 作者: 張䌌英 Zhang Xiying |
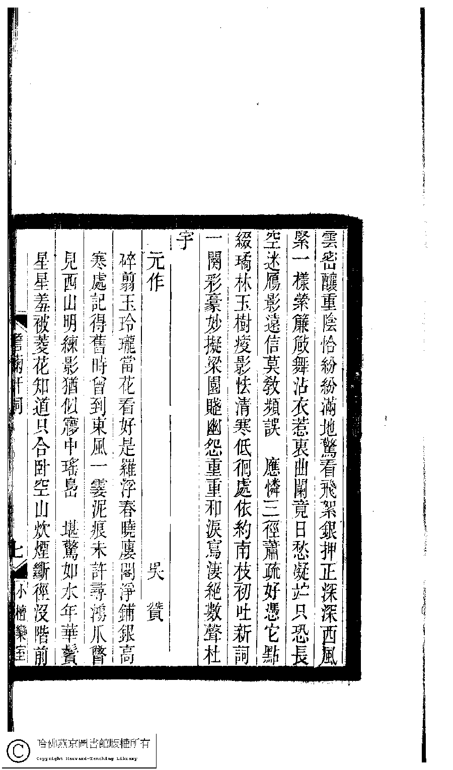
| 原書: 小檀欒室彙刻閨秀詞﹕十集一百種一百卷(清徐乃昌輯): 澹菊軒詞﹕一卷 |
| 備註: 附原作 |
| 作品圖片: |
| (PRINT FRIENDLY VERSION) 小檀欒室彙刻閨秀詞﹕十集一百種一百卷(清徐乃昌輯) : 澹菊軒詞﹕一卷。清光緒二十二年(1896)南陵徐氏刻本。 ![]() 頁碼 : 澹菊軒詞.7b | 点 击 放 大 | 小檀欒室彙刻閨秀詞﹕十集一百種一百卷(清徐乃昌輯) : 澹菊軒詞﹕一卷。清光緒二十二年(1896)南陵徐氏刻本。![]() 頁碼 : 澹菊軒詞.7a | 点 击 放 大 | 小檀欒室彙刻閨秀詞﹕十集一百種一百卷(清徐乃昌輯) : 澹菊軒詞﹕一卷。清光緒二十二年(1896)南陵徐氏刻本。![]() 頁碼 : 澹菊軒詞.6b | 点 击 放 大 | 返回 |
|---|











