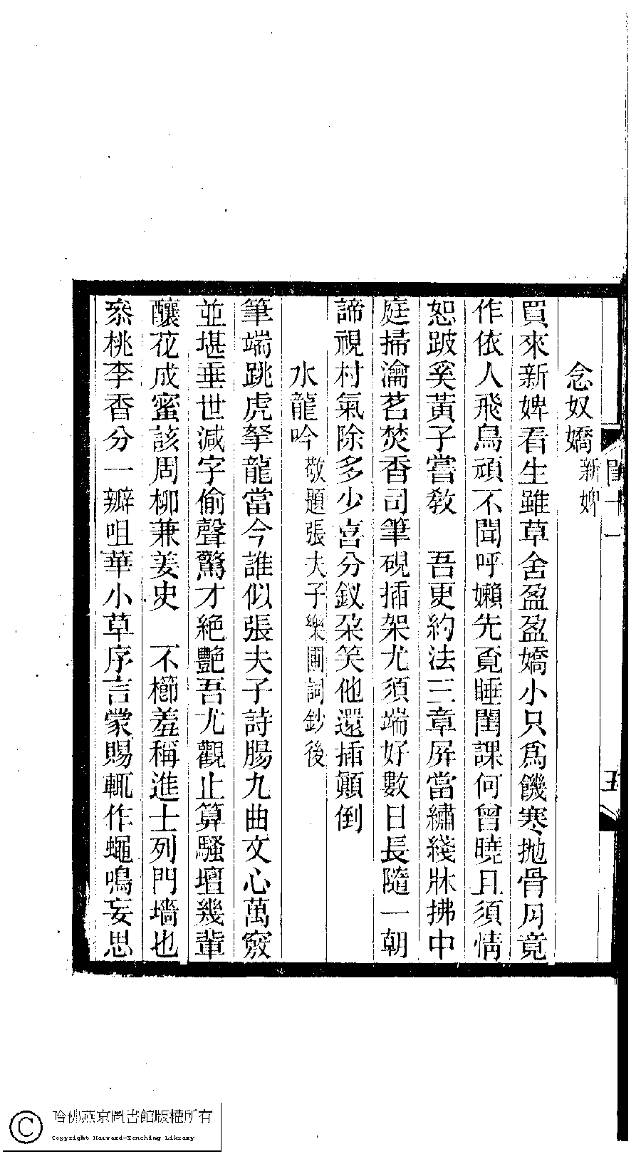
詩詞 [念奴嬌 ﹕新婢]
| 作者: 王瑗 Wang Yuan |
| 原書: 閨秀詞鈔﹕十六卷(清徐乃昌輯) |
| 作品圖片: |
| (PRINT FRIENDLY VERSION) 閨秀詞鈔﹕十六卷(清徐乃昌輯)。清宣統元年(1909)小檀欒室刻本。 ![]() 頁碼 : 11.5b | 点 击 放 大 | 返回 |
|---|
| 作者: 王瑗 Wang Yuan |
| 原書: 閨秀詞鈔﹕十六卷(清徐乃昌輯) |
| 作品圖片: |
| (PRINT FRIENDLY VERSION) 閨秀詞鈔﹕十六卷(清徐乃昌輯)。清宣統元年(1909)小檀欒室刻本。 ![]() 頁碼 : 11.5b | 点 击 放 大 | 返回 |
|---|