詩詞 [題郵亭壁歌]
| 樂府 |
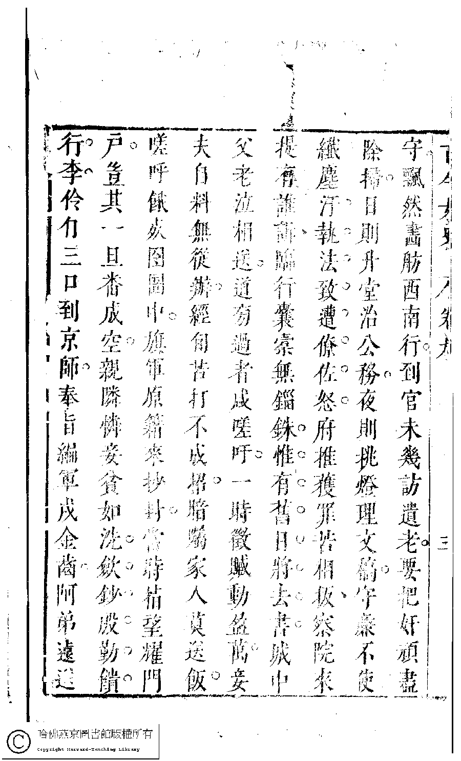
| 作者: 宋氏 Song shi |
| 原書: 古今女史﹕十二卷﹐詩集﹕八卷﹐附姓氏字里詳節﹕一卷(明趙世杰輯) |
| 作品圖片: |
| (PRINT FRIENDLY VERSION) 古今女史﹕十二卷﹐詩集﹕八卷﹐附姓氏字里詳節﹕一卷(明趙世杰輯) ![]() 頁碼 : 9.4b | 点 击 放 大 | 古今女史﹕十二卷﹐詩集﹕八卷﹐附姓氏字里詳節﹕一卷(明趙世杰輯)![]() 頁碼 : 9.4a | 点 击 放 大 | 古今女史﹕十二卷﹐詩集﹕八卷﹐附姓氏字里詳節﹕一卷(明趙世杰輯)![]() 頁碼 : 9.3b | 点 击 放 大 | 古今女史﹕十二卷﹐詩集﹕八卷﹐附姓氏字里詳節﹕一卷(明趙世杰輯)![]() 頁碼 : 9.3a | 点 击 放 大 |
|---|---|---|---|---|---|---|---|
古今女史﹕十二卷﹐詩集﹕八卷﹐附姓氏字里詳節﹕一卷(明趙世杰輯)![]() 頁碼 : 9.5a | 点 击 放 大 | 返回 |













