詩詞 [甲申仲秋感事(五首)]
| 七言律詩 |
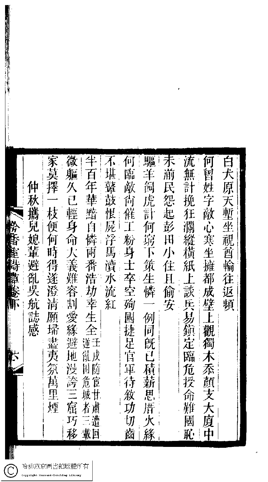
| 作者: 楊蘊輝 Yang Yunhui |
| 原書: 吟香室詩草﹕二卷﹐續刻﹕一卷﹐附刻﹕一卷(清楊蘊輝撰) |
| 作品圖片: |
| (PRINT FRIENDLY VERSION) 吟香室詩草﹕二卷﹐續刻﹕一卷﹐附刻﹕一卷(清楊蘊輝撰)。清光緒二十三年(1897)刻本。 ![]() 頁碼 : 2.6a | 点 击 放 大 | 吟香室詩草﹕二卷﹐續刻﹕一卷﹐附刻﹕一卷(清楊蘊輝撰)。清光緒二十三年(1897)刻本。![]() 頁碼 : 2.5b | 点 击 放 大 | 返回 |
|---|
| 七言律詩 |
| 作者: 楊蘊輝 Yang Yunhui |
| 原書: 吟香室詩草﹕二卷﹐續刻﹕一卷﹐附刻﹕一卷(清楊蘊輝撰) |
| 作品圖片: |
| (PRINT FRIENDLY VERSION) 吟香室詩草﹕二卷﹐續刻﹕一卷﹐附刻﹕一卷(清楊蘊輝撰)。清光緒二十三年(1897)刻本。 ![]() 頁碼 : 2.6a | 点 击 放 大 | 吟香室詩草﹕二卷﹐續刻﹕一卷﹐附刻﹕一卷(清楊蘊輝撰)。清光緒二十三年(1897)刻本。![]() 頁碼 : 2.5b | 点 击 放 大 | 返回 |
|---|