詩詞 [臨江仙 ﹕同紉蘭四妹作即呈雪蘭大姊蘅芳蓉岑两妹并褱顧羽素表妹無锡王畹蘭五妹吴江]
| 作者: 楊芸 Yang Yun |
| 原書: 小檀欒室彙刻閨秀詞﹕十集一百種一百卷(清徐乃昌輯) |
| 作品圖片: |
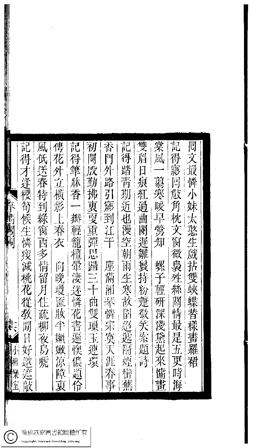
| (PRINT FRIENDLY VERSION) 小檀欒室彙刻閨秀詞﹕十集一百種一百卷(清徐乃昌輯) ![]() 頁碼 : 琴清閣詞.17a | 点 击 放 大 | 小檀欒室彙刻閨秀詞﹕十集一百種一百卷(清徐乃昌輯)![]() 頁碼 : 琴清閣詞.16b | 点 击 放 大 | 小檀欒室彙刻閨秀詞﹕十集一百種一百卷(清徐乃昌輯)![]() 頁碼 : 琴清閣詞.16a | 点 击 放 大 | 小檀欒室彙刻閨秀詞﹕十集一百種一百卷(清徐乃昌輯)![]() 頁碼 : 琴清閣詞.15b | 点 击 放 大 |
|---|---|---|---|---|---|---|---|
小檀欒室彙刻閨秀詞﹕十集一百種一百卷(清徐乃昌輯)![]() 頁碼 : 琴清閣詞.17b | 点 击 放 大 | 返回 |













