詩詞 [論潘公理詩]
| 文﹕詩話 |
| 作者: |
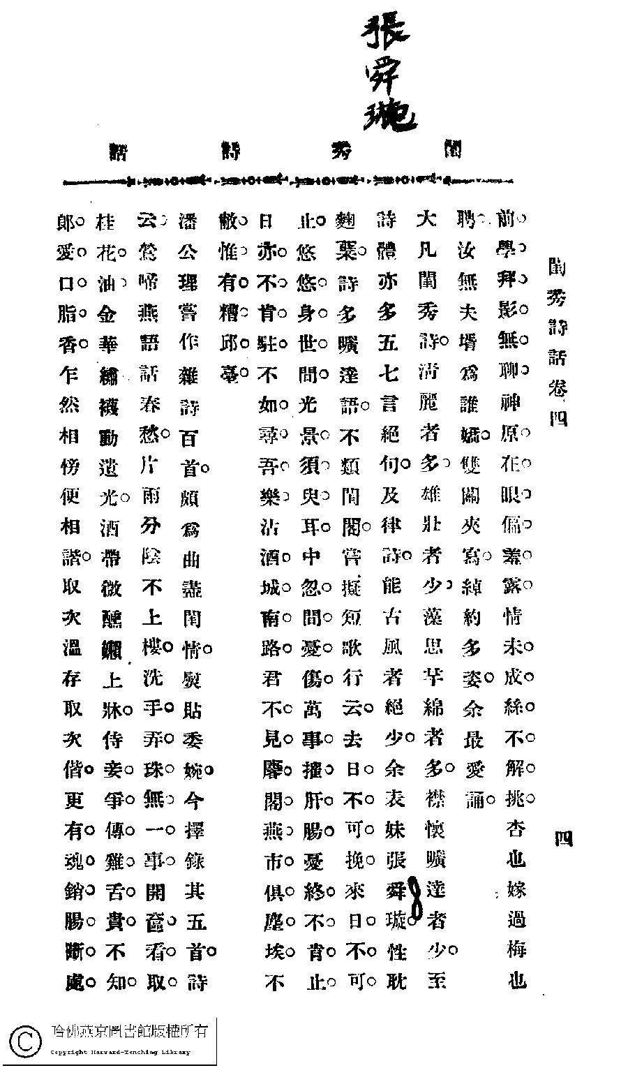
| 原書: 閨秀詩話﹕四卷(苕溪生輯) |
| 作品圖片: |
| (PRINT FRIENDLY VERSION) 閨秀詩話﹕四卷(苕溪生輯)。民國丙寅(1926)鉛印本。 ![]() 頁碼 : 4.5 | 点 击 放 大 | 閨秀詩話﹕四卷(苕溪生輯)。民國丙寅(1926)鉛印本。![]() 頁碼 : 4.4 | 点 击 放 大 | 返回 |
|---|
| 文﹕詩話 |
| 作者: |
| 原書: 閨秀詩話﹕四卷(苕溪生輯) |
| 作品圖片: |
| (PRINT FRIENDLY VERSION) 閨秀詩話﹕四卷(苕溪生輯)。民國丙寅(1926)鉛印本。 ![]() 頁碼 : 4.5 | 点 击 放 大 | 閨秀詩話﹕四卷(苕溪生輯)。民國丙寅(1926)鉛印本。![]() 頁碼 : 4.4 | 点 击 放 大 | 返回 |
|---|