詩詞 [冬日即事 ]
| 五言古詩 |
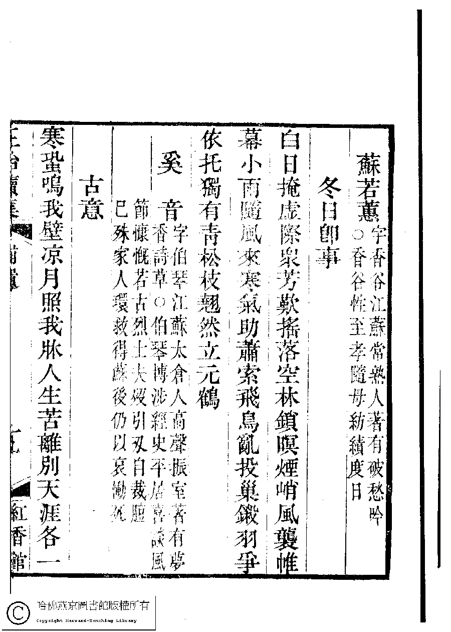
| 作者: 蘇若蕙 Su Ruohui |
| 原書: 國朝閨秀正始續集﹕十卷﹐附錄﹕一卷﹐補遺﹕一卷﹐輓詞﹕一卷(清惲珠輯) |
| 作品圖片: |
| (PRINT FRIENDLY VERSION) 國朝閨秀正始續集﹕十卷﹐附錄﹕一卷﹐補遺﹕一卷﹐輓詞﹕一卷(清惲珠輯)。清道光十六年(1836)紅香館刻本。 ![]() 頁碼 : 補遺.19a | 点 击 放 大 | 返回 |
|---|
| 五言古詩 |
| 作者: 蘇若蕙 Su Ruohui |
| 原書: 國朝閨秀正始續集﹕十卷﹐附錄﹕一卷﹐補遺﹕一卷﹐輓詞﹕一卷(清惲珠輯) |
| 作品圖片: |
| (PRINT FRIENDLY VERSION) 國朝閨秀正始續集﹕十卷﹐附錄﹕一卷﹐補遺﹕一卷﹐輓詞﹕一卷(清惲珠輯)。清道光十六年(1836)紅香館刻本。 ![]() 頁碼 : 補遺.19a | 点 击 放 大 | 返回 |
|---|