詩詞 [王貞儀自序]
| 文 |
| 作者: 王貞儀 Wang Zhenyi |
| 原書: 德風亭初集﹕十三卷(清王貞儀撰) |
| 作品圖片: |
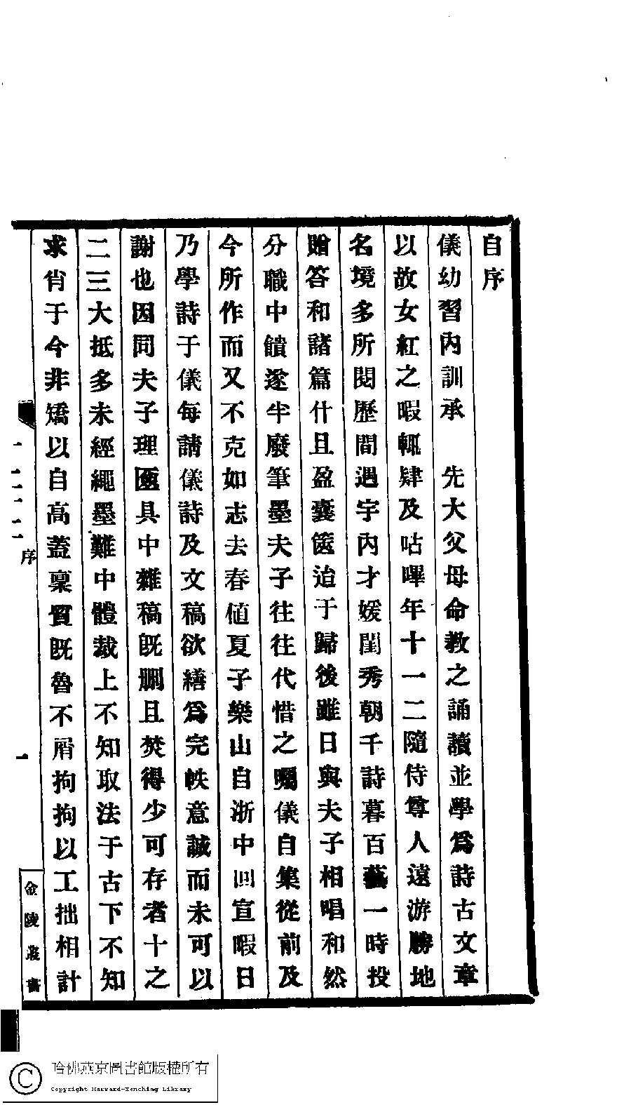
| (PRINT FRIENDLY VERSION) 德風亭初集﹕十三卷(清王貞儀撰)。民國五年(1916)蔣氏[國榜]愼脩書屋校印本。 ![]() 頁碼 : 序.2b | 点 击 放 大 | 德風亭初集﹕十三卷(清王貞儀撰)。民國五年(1916)蔣氏[國榜]愼脩書屋校印本。![]() 頁碼 : 序.2a | 点 击 放 大 | 德風亭初集﹕十三卷(清王貞儀撰)。民國五年(1916)蔣氏[國榜]愼脩書屋校印本。![]() 頁碼 : 序.1b | 点 击 放 大 | 德風亭初集﹕十三卷(清王貞儀撰)。民國五年(1916)蔣氏[國榜]愼脩書屋校印本。![]() 頁碼 : 序.1a | 点 击 放 大 | 返回 |
|---|












