詩詞 [讀史偶序]
| 文 |
| 作者: 王貞儀 Wang Zhenyi |
| 原書: 德風亭初集﹕十三卷(清王貞儀撰) |
| 作品圖片: |
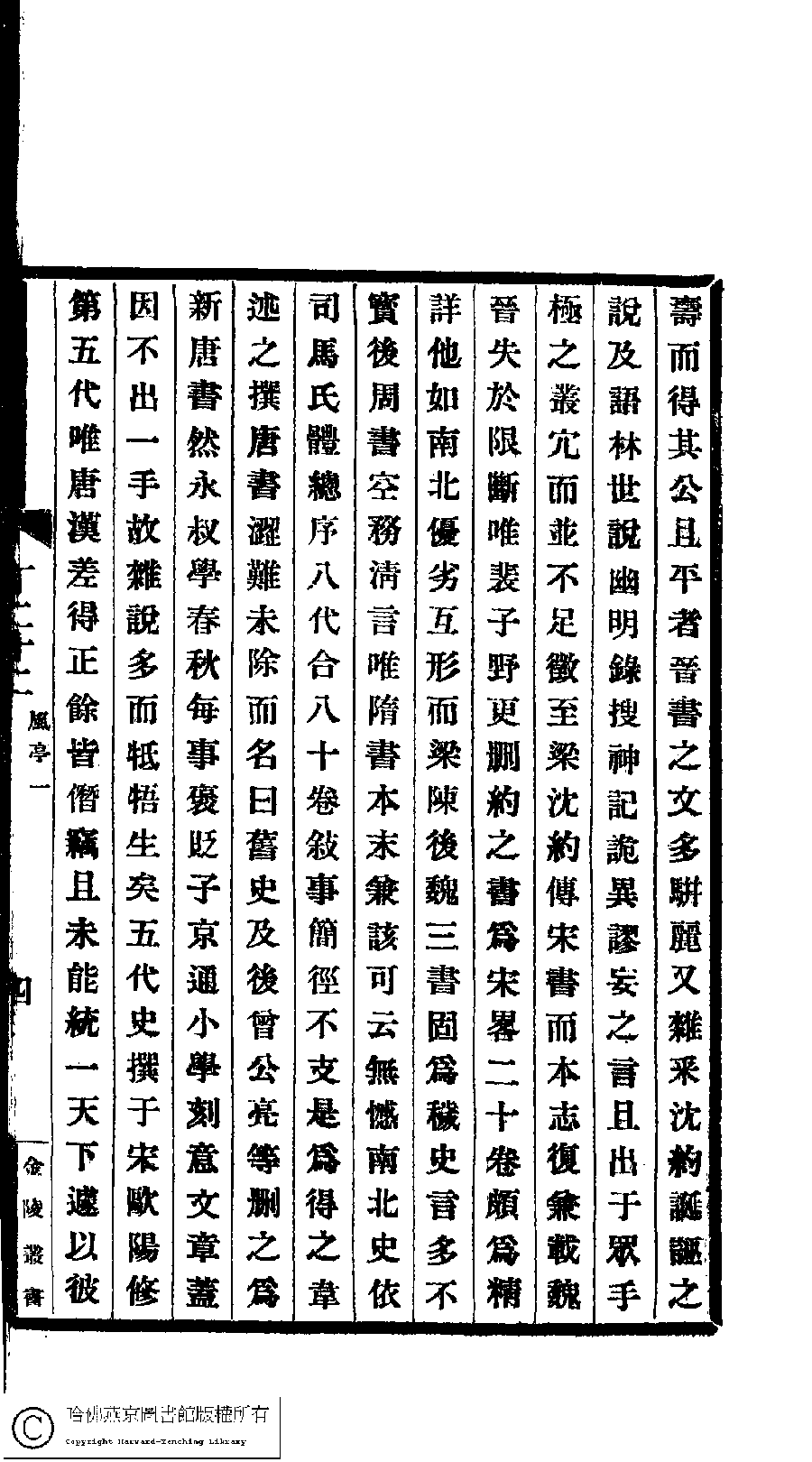
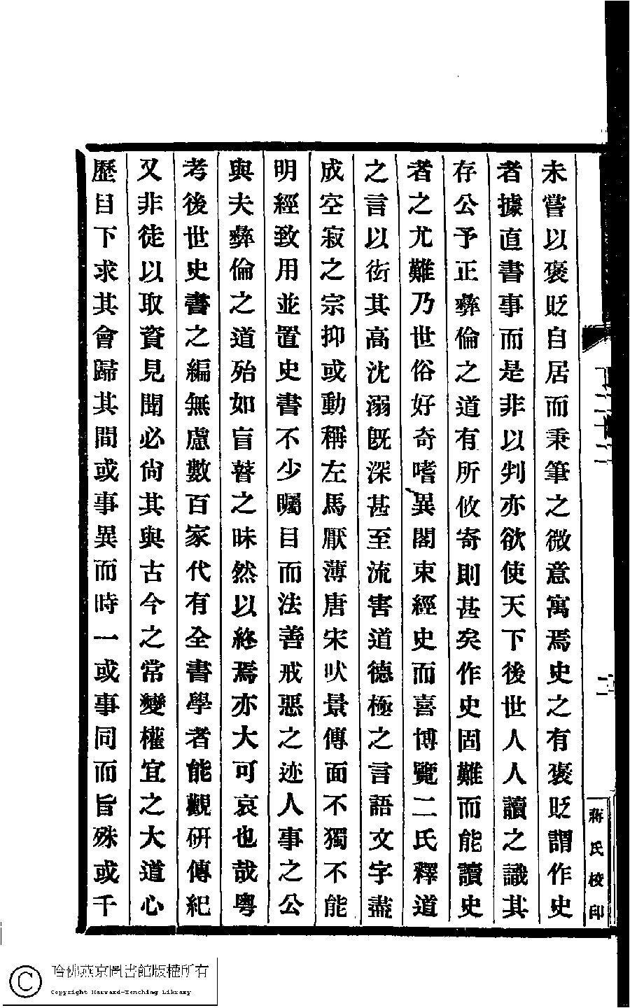
| (PRINT FRIENDLY VERSION) 德風亭初集﹕十三卷(清王貞儀撰) ![]() 頁碼 : 1.3b | 点 击 放 大 | 德風亭初集﹕十三卷(清王貞儀撰)![]() 頁碼 : 1.3a | 点 击 放 大 | 德風亭初集﹕十三卷(清王貞儀撰)![]() 頁碼 : 1.2b | 点 击 放 大 | 德風亭初集﹕十三卷(清王貞儀撰)![]() 頁碼 : 1.2a | 点 击 放 大 |
|---|---|---|---|---|---|---|---|
德風亭初集﹕十三卷(清王貞儀撰)![]() 頁碼 : 1.5b | 点 击 放 大 | 德風亭初集﹕十三卷(清王貞儀撰)![]() 頁碼 : 1.5a | 点 击 放 大 | 德風亭初集﹕十三卷(清王貞儀撰)![]() 頁碼 : 1.4b | 点 击 放 大 | 德風亭初集﹕十三卷(清王貞儀撰)![]() 頁碼 : 1.4a | 点 击 放 大 | 第 1 頁 2 | 返回 | << | < | > | >> |
















