詩詞 [地球比九重天論]
| 文 |
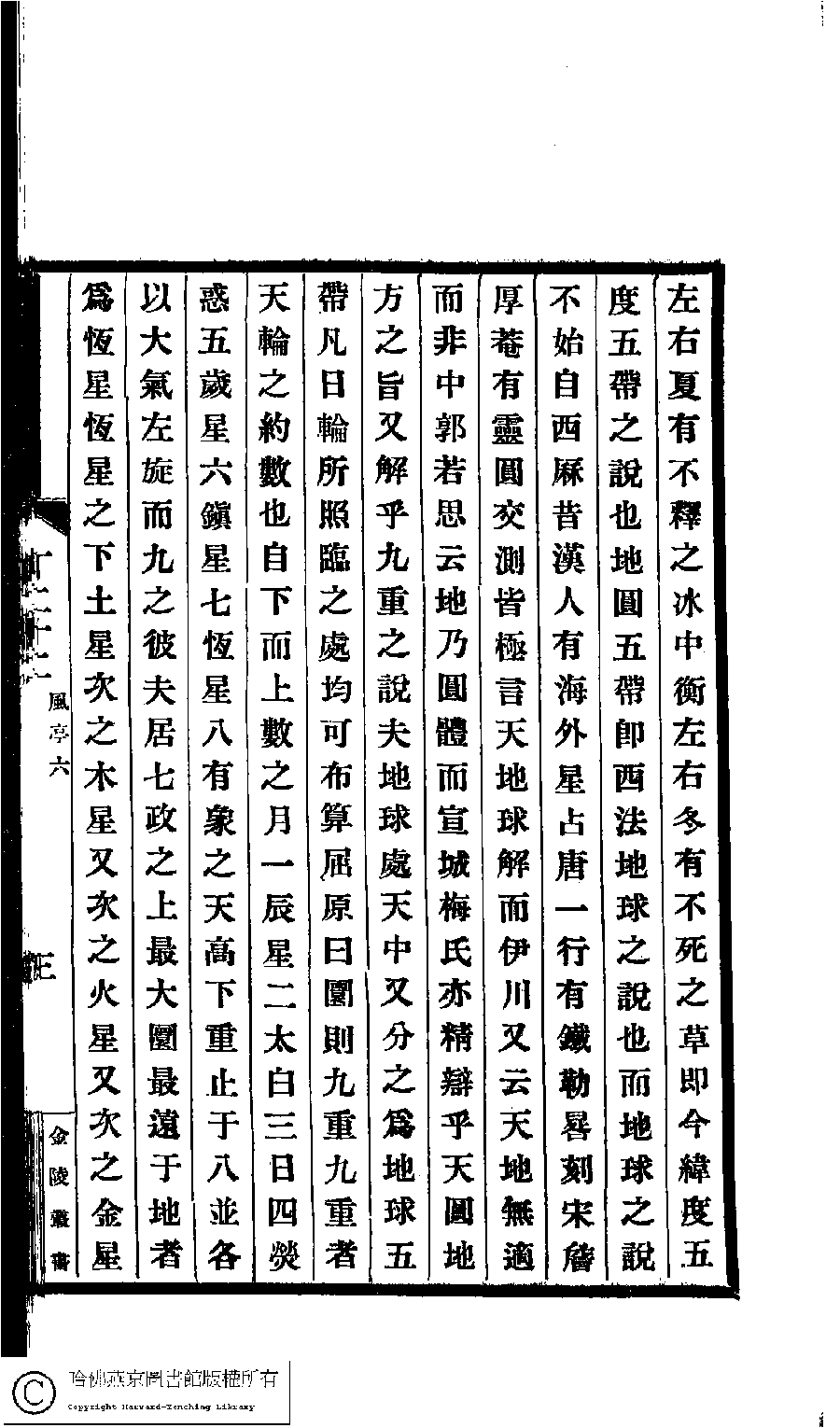
| 作者: 王貞儀 Wang Zhenyi |
| 原書: 德風亭初集﹕十三卷(清王貞儀撰) |
| 作品圖片: |
| (PRINT FRIENDLY VERSION) 德風亭初集﹕十三卷(清王貞儀撰) ![]() 頁碼 : 6.4a | 点 击 放 大 | 德風亭初集﹕十三卷(清王貞儀撰)![]() 頁碼 : 6.3b | 点 击 放 大 | 德風亭初集﹕十三卷(清王貞儀撰)![]() 頁碼 : 6.3a | 点 击 放 大 | 德風亭初集﹕十三卷(清王貞儀撰)![]() 頁碼 : 6.2b | 点 击 放 大 |
|---|---|---|---|---|---|---|---|
德風亭初集﹕十三卷(清王貞儀撰)![]() 頁碼 : 6.4b | 点 击 放 大 | 返回 |













