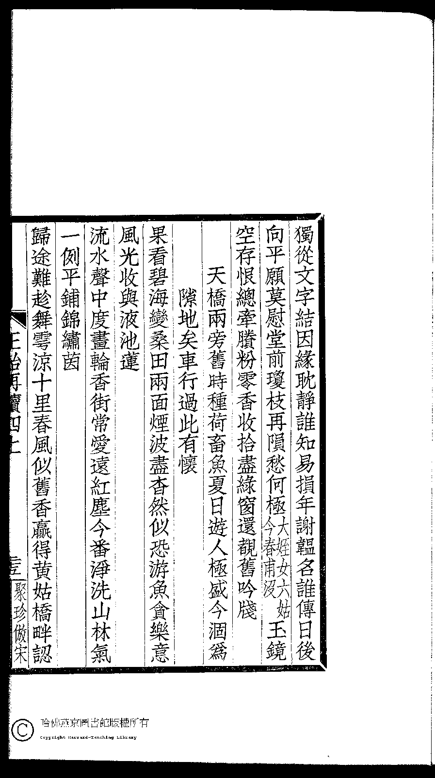
詩詞 [悼亡女韞瑛]
| 七言律詩 |
| 作者: 劉之萊 Liu Zhilai |
| 原書: 閨秀正始再續集(民國單士釐輯) |
| 作品圖片: |
| (PRINT FRIENDLY VERSION) 閨秀正始再續集(民國單士釐輯)。民國元年(1911)活字印本 ![]() 頁碼 : 四上.25a | 点 击 放 大 | 閨秀正始再續集(民國單士釐輯)。民國元年(1911)活字印本![]() 頁碼 : 四上.24b | 点 击 放 大 | 返回 |
|---|
| 七言律詩 |
| 作者: 劉之萊 Liu Zhilai |
| 原書: 閨秀正始再續集(民國單士釐輯) |
| 作品圖片: |
| (PRINT FRIENDLY VERSION) 閨秀正始再續集(民國單士釐輯)。民國元年(1911)活字印本 ![]() 頁碼 : 四上.25a | 点 击 放 大 | 閨秀正始再續集(民國單士釐輯)。民國元年(1911)活字印本![]() 頁碼 : 四上.24b | 点 击 放 大 | 返回 |
|---|