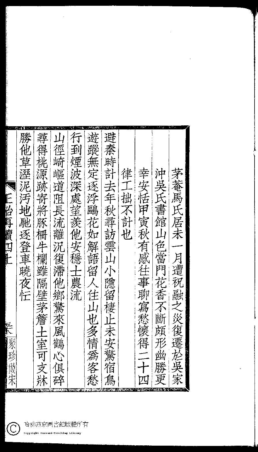
詩詞 [熙湖避兵草 幷序錄四]
| 七言律詩 |
| 作者: 程端穎 Cheng Duanying |
| 原書: 閨秀正始再續集(民國單士釐輯) |
| 作品圖片: |
| (PRINT FRIENDLY VERSION) 閨秀正始再續集(民國單士釐輯)。民國元年(1911)活字印本 ![]() 頁碼 : 四上.58b | 点 击 放 大 | 閨秀正始再續集(民國單士釐輯)。民國元年(1911)活字印本![]() 頁碼 : 四上.58a | 点 击 放 大 | 閨秀正始再續集(民國單士釐輯)。民國元年(1911)活字印本![]() 頁碼 : 四上.57b | 点 击 放 大 | 返回 |
|---|











