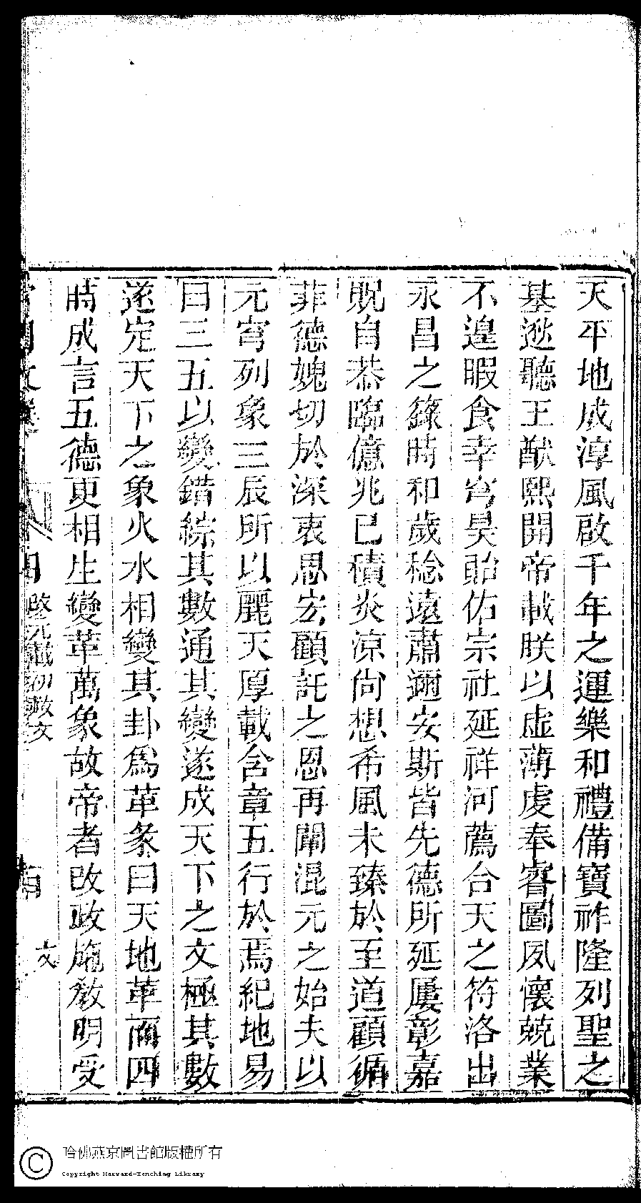
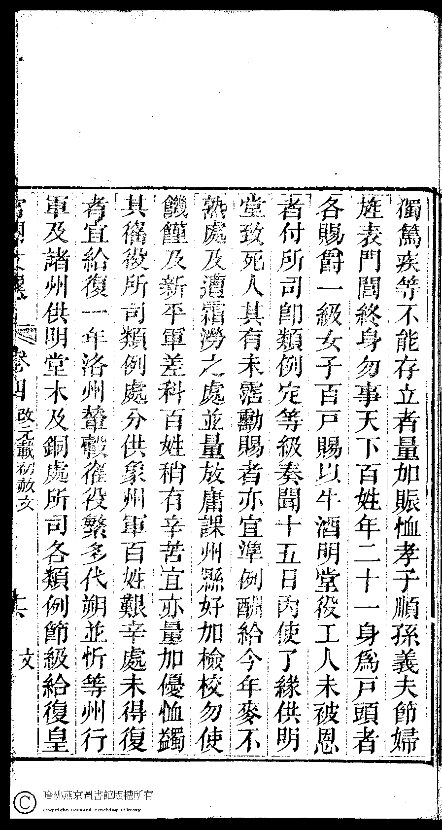
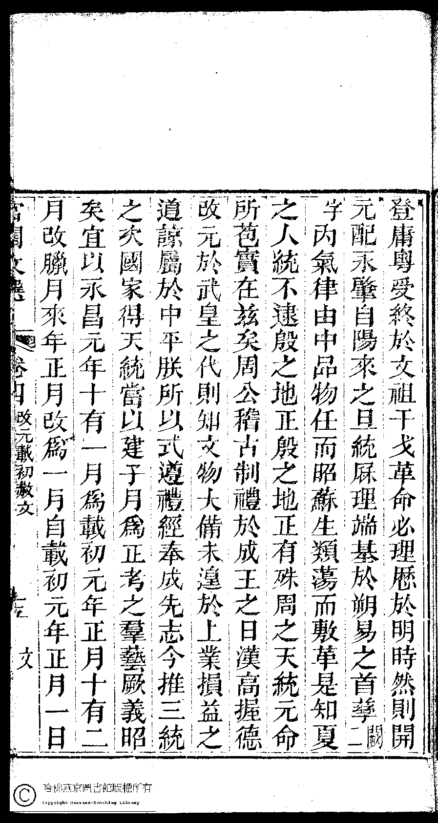
詩詞 [改元載初赦文]
| 文﹕文 |
| 作者: 武則天 Wu Zetian |
| 原書: 宮閨文選:二十六卷,姓氏小錄 : 一卷(清周壽昌輯訂) |
| 作品圖片: |
| (PRINT FRIENDLY VERSION) 宮閨文選:二十六卷,姓氏小錄 : 一卷(清周壽昌輯訂) ![]() 頁碼 : 4.14b | 点 击 放 大 | 宮閨文選:二十六卷,姓氏小錄 : 一卷(清周壽昌輯訂)![]() 頁碼 : 4.14a | 点 击 放 大 | 宮閨文選:二十六卷,姓氏小錄 : 一卷(清周壽昌輯訂)![]() 頁碼 : 4.13b | 点 击 放 大 | 宮閨文選:二十六卷,姓氏小錄 : 一卷(清周壽昌輯訂)![]() 頁碼 : 4.13a | 点 击 放 大 |
|---|---|---|---|---|---|---|---|
宮閨文選:二十六卷,姓氏小錄 : 一卷(清周壽昌輯訂)![]() 頁碼 : 4.16b | 点 击 放 大 | 宮閨文選:二十六卷,姓氏小錄 : 一卷(清周壽昌輯訂)![]() 頁碼 : 4.16a | 点 击 放 大 | 宮閨文選:二十六卷,姓氏小錄 : 一卷(清周壽昌輯訂)![]() 頁碼 : 4.15b | 点 击 放 大 | 宮閨文選:二十六卷,姓氏小錄 : 一卷(清周壽昌輯訂)![]() 頁碼 : 4.15a | 点 击 放 大 | 第 1 頁 2 | 返回 | << | < | > | >> |
















