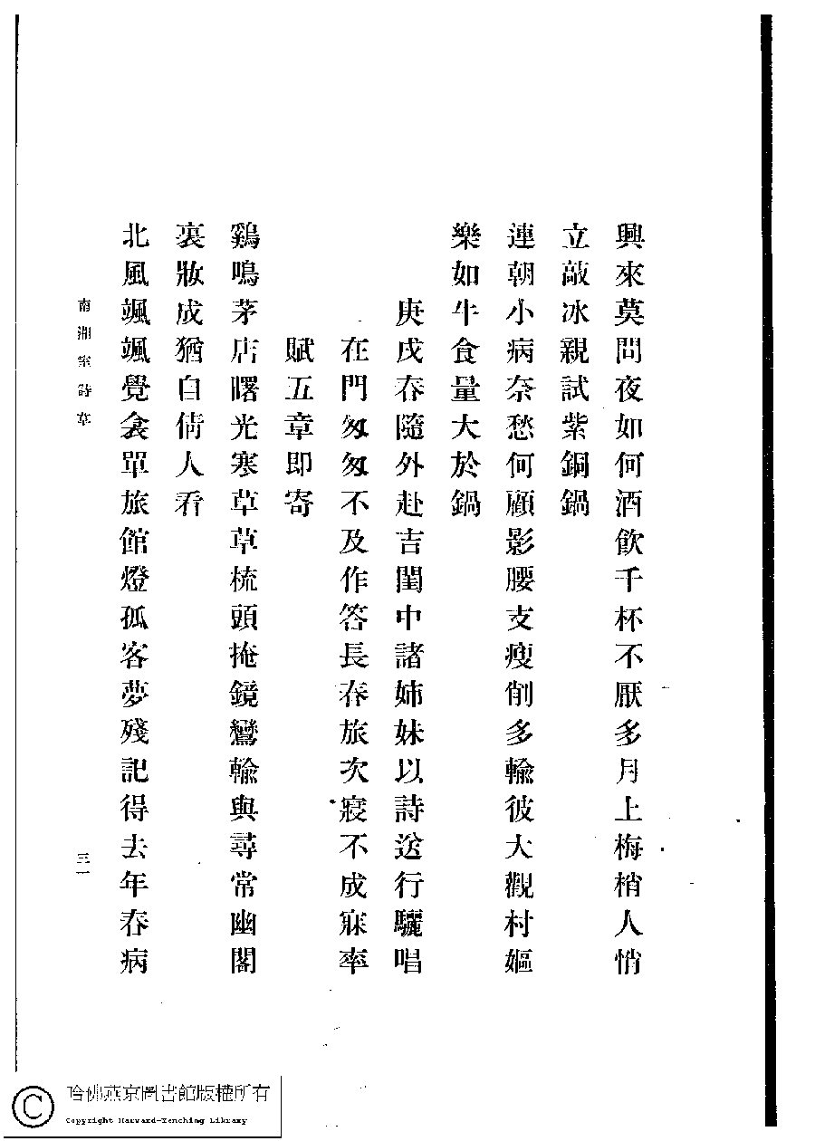
詩詞 [庚戌春隨外赴吉閨中諸姉妹以詩送行驪唱在門匆匆不及作答長春旅次寢不成寐率賦五章即寄]
| 七言絕句 |
| 作者: 姚倩 Yao Qian |
| 原書: 南湘室詩草﹕一卷﹐詩餘﹕一卷(姚倩、姚茞撰) |
| 作品圖片: |
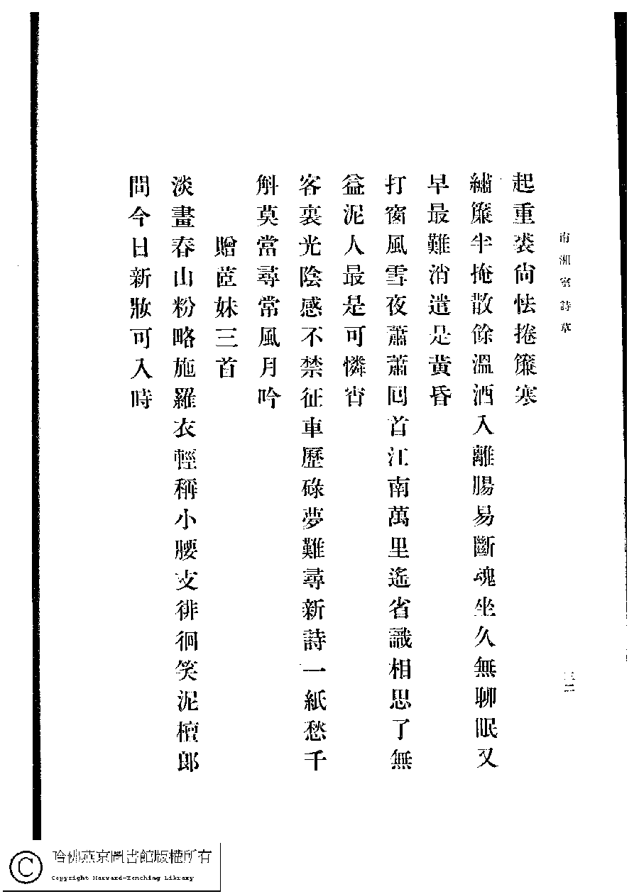
| (PRINT FRIENDLY VERSION) 南湘室詩草﹕一卷﹐詩餘﹕一卷(姚倩、姚茞撰)。1915年日本排印本。 ![]() 頁碼 : 32 | 点 击 放 大 | 南湘室詩草﹕一卷﹐詩餘﹕一卷(姚倩、姚茞撰)。1915年日本排印本。![]() 頁碼 : 31 | 点 击 放 大 | 返回 |
|---|
| 七言絕句 |
| 作者: 姚倩 Yao Qian |
| 原書: 南湘室詩草﹕一卷﹐詩餘﹕一卷(姚倩、姚茞撰) |
| 作品圖片: |
| (PRINT FRIENDLY VERSION) 南湘室詩草﹕一卷﹐詩餘﹕一卷(姚倩、姚茞撰)。1915年日本排印本。 ![]() 頁碼 : 32 | 点 击 放 大 | 南湘室詩草﹕一卷﹐詩餘﹕一卷(姚倩、姚茞撰)。1915年日本排印本。![]() 頁碼 : 31 | 点 击 放 大 | 返回 |
|---|