詩詞 [前詩意有未盡續咏四絕句]
| 七言絕句 |
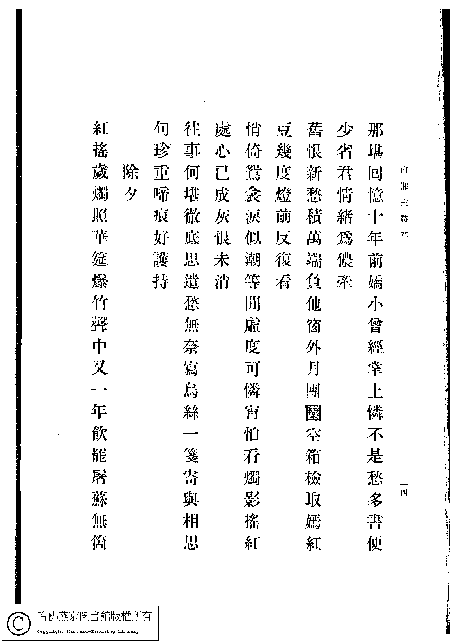
| 作者: 姚茝 Yao Chai |
| 原書: 南湘室詩草﹕一卷﹐詩餘﹕一卷(姚倩、姚茞撰) |
| 作品圖片: |
| (PRINT FRIENDLY VERSION) 南湘室詩草﹕一卷﹐詩餘﹕一卷(姚倩、姚茞撰)。1915年日本排印本。 ![]() 頁碼 : 14 | 点 击 放 大 | 南湘室詩草﹕一卷﹐詩餘﹕一卷(姚倩、姚茞撰)。1915年日本排印本。![]() 頁碼 : 13 | 点 击 放 大 | 返回 |
|---|
| 七言絕句 |
| 作者: 姚茝 Yao Chai |
| 原書: 南湘室詩草﹕一卷﹐詩餘﹕一卷(姚倩、姚茞撰) |
| 作品圖片: |
| (PRINT FRIENDLY VERSION) 南湘室詩草﹕一卷﹐詩餘﹕一卷(姚倩、姚茞撰)。1915年日本排印本。 ![]() 頁碼 : 14 | 点 击 放 大 | 南湘室詩草﹕一卷﹐詩餘﹕一卷(姚倩、姚茞撰)。1915年日本排印本。![]() 頁碼 : 13 | 点 击 放 大 | 返回 |
|---|