詩詞 [吳芳[略傳]]
| 文﹕略傳 |
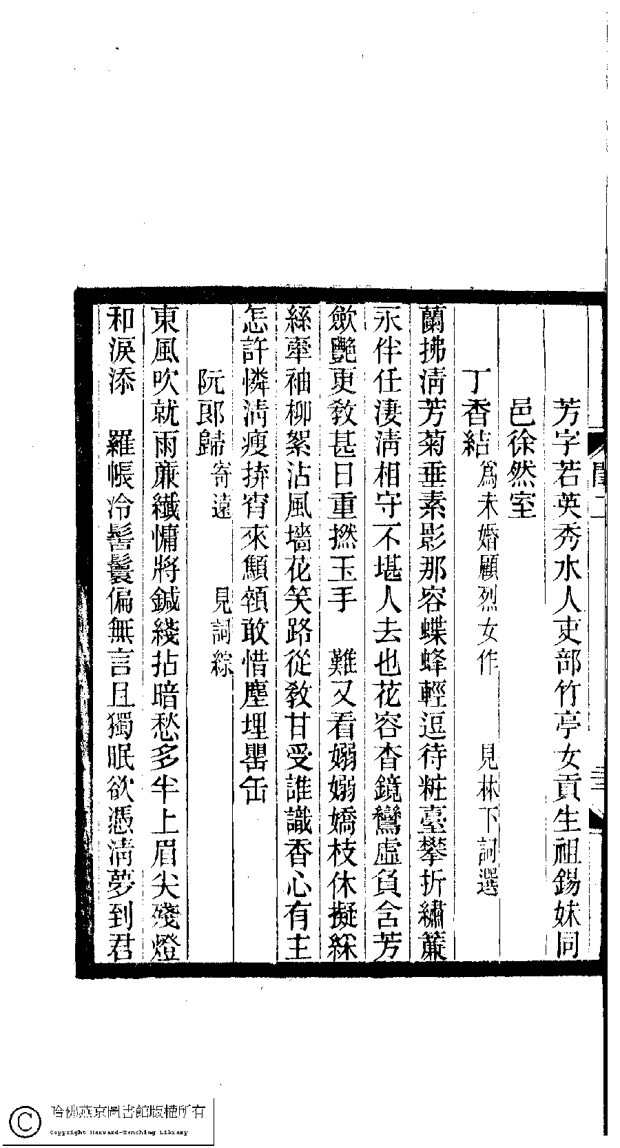
| 作者: 徐乃昌 Xu Naichang |
| 原書: 閨秀詞鈔﹕十六卷(清徐乃昌輯) |
| 作品圖片: |
| (PRINT FRIENDLY VERSION) 閨秀詞鈔﹕十六卷(清徐乃昌輯)。清宣統元年(1909)小檀欒室刻本。 ![]() 頁碼 : 2.22b | 点 击 放 大 | 閨秀詞鈔﹕十六卷(清徐乃昌輯)。清宣統元年(1909)小檀欒室刻本。![]() 頁碼 : 2.22a | 点 击 放 大 | 返回 |
|---|
| 文﹕略傳 |
| 作者: 徐乃昌 Xu Naichang |
| 原書: 閨秀詞鈔﹕十六卷(清徐乃昌輯) |
| 作品圖片: |
| (PRINT FRIENDLY VERSION) 閨秀詞鈔﹕十六卷(清徐乃昌輯)。清宣統元年(1909)小檀欒室刻本。 ![]() 頁碼 : 2.22b | 点 击 放 大 | 閨秀詞鈔﹕十六卷(清徐乃昌輯)。清宣統元年(1909)小檀欒室刻本。![]() 頁碼 : 2.22a | 点 击 放 大 | 返回 |
|---|