詩詞 [晚香詩集序]
| 文﹕序 |
| 作者: 孫婉如 Sun Wanru |
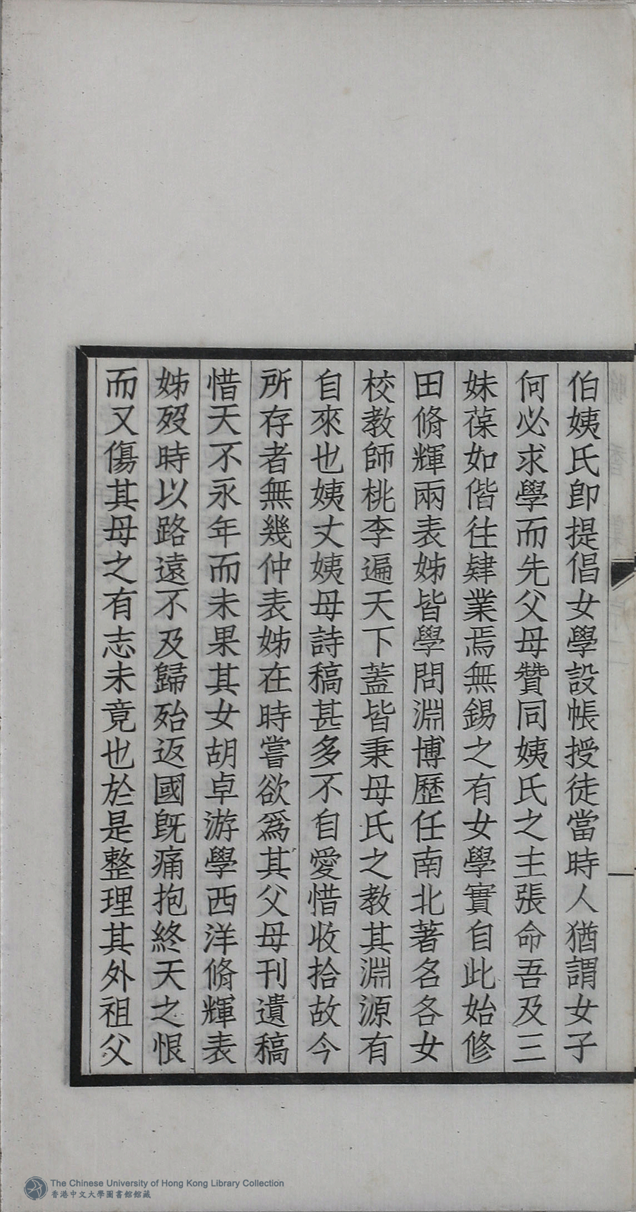
| 原書: 晚香集:詩三卷,詞一卷,歌一卷(清周曾镛, 王南城, 周韞玉撰) |
| 作品圖片: |
| (PRINT FRIENDLY VERSION) 晚香集:詩三卷,詞一卷,歌一卷(清周曾镛, 王南城, 周韞玉撰)。民國十七年(1928)排印本 ![]() 頁碼 : Page 16 | 点 击 放 大 | 晚香集:詩三卷,詞一卷,歌一卷(清周曾镛, 王南城, 周韞玉撰)。民國十七年(1928)排印本![]() 頁碼 : Page 15 | 点 击 放 大 | 晚香集:詩三卷,詞一卷,歌一卷(清周曾镛, 王南城, 周韞玉撰)。民國十七年(1928)排印本![]() 頁碼 : Page 14 | 点 击 放 大 | 晚香集:詩三卷,詞一卷,歌一卷(清周曾镛, 王南城, 周韞玉撰)。民國十七年(1928)排印本![]() 頁碼 : Page 13 | 点 击 放 大 | 返回 |
|---|












