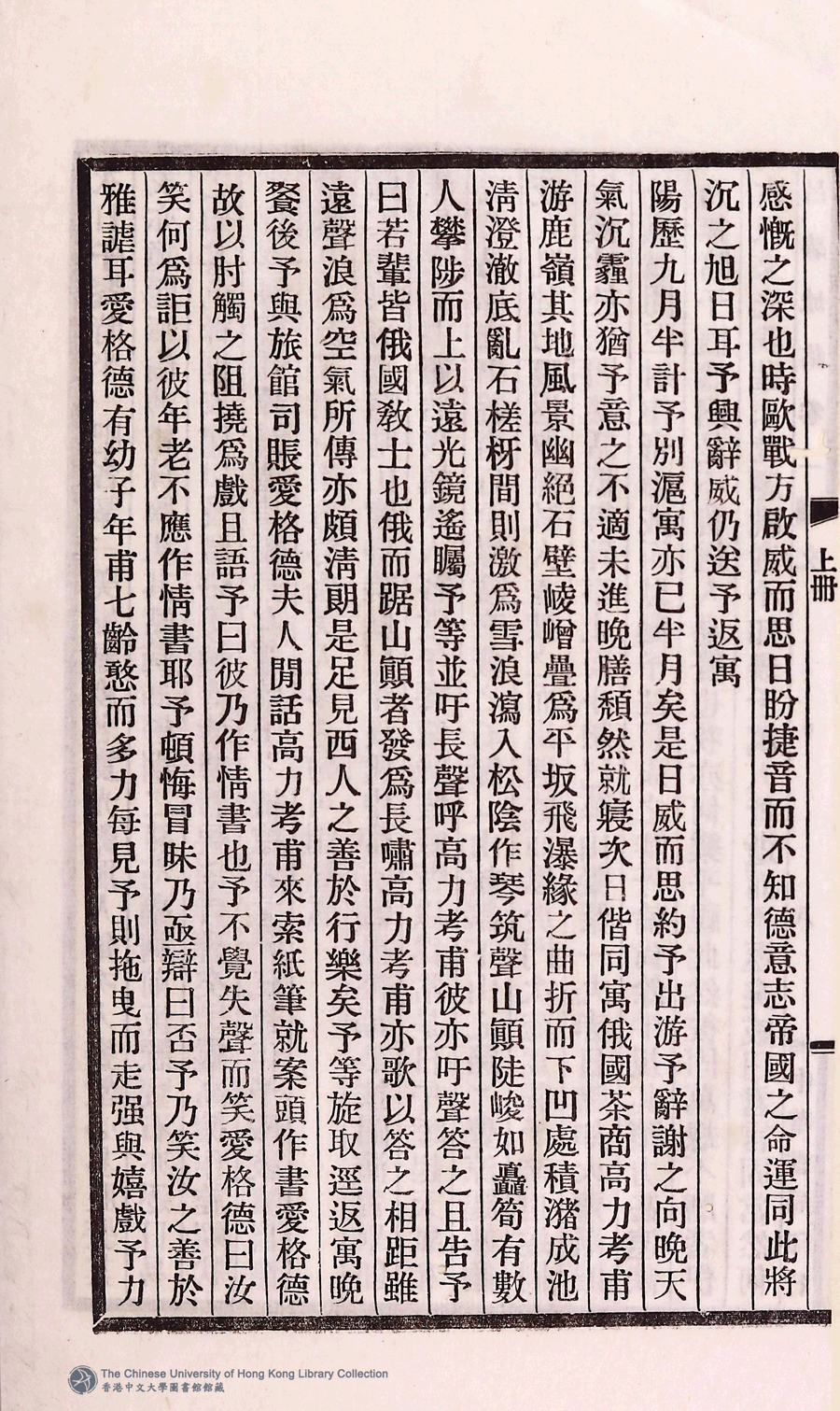
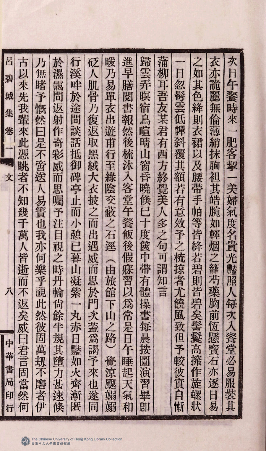
詩詞 [游廬瑣記]
| 文﹕記 |
| 作者: 呂碧城 Lü Bicheng |
| 原書: 呂碧城集:五卷(民國呂碧城撰) |
| 作品圖片: |
| (PRINT FRIENDLY VERSION) 呂碧城集:五卷(民國呂碧城撰) ![]() 頁碼 : 1.8a | 点 击 放 大 | 呂碧城集:五卷(民國呂碧城撰)![]() 頁碼 : 1.7b | 点 击 放 大 | 呂碧城集:五卷(民國呂碧城撰)![]() 頁碼 : 1.7a | 点 击 放 大 | 呂碧城集:五卷(民國呂碧城撰)![]() 頁碼 : 1.6b | 点 击 放 大 |
|---|---|---|---|---|---|---|---|
呂碧城集:五卷(民國呂碧城撰)![]() 頁碼 : 1.9b | 点 击 放 大 | 呂碧城集:五卷(民國呂碧城撰)![]() 頁碼 : 1.9a | 点 击 放 大 | 呂碧城集:五卷(民國呂碧城撰)![]() 頁碼 : 1.8b | 点 击 放 大 | 返回 |















