詩詞 [續篇獨遊之辦法及經驗]
| 文﹕記 |
| 作者: 呂碧城 Lü Bicheng |
| 原書: 呂碧城集:五卷(民國呂碧城撰) |
| 作品圖片: |
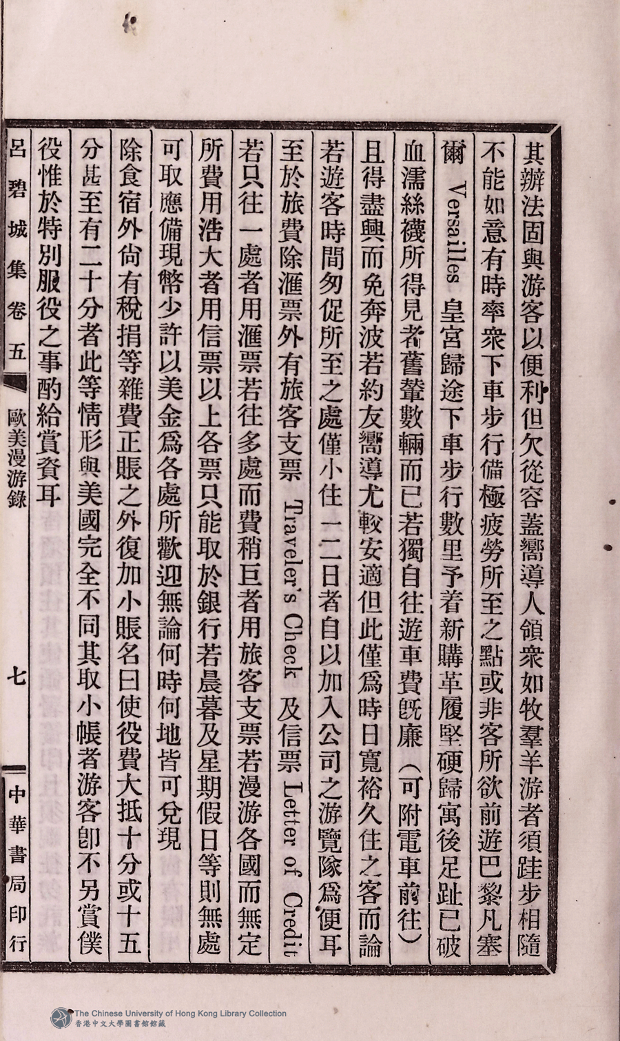
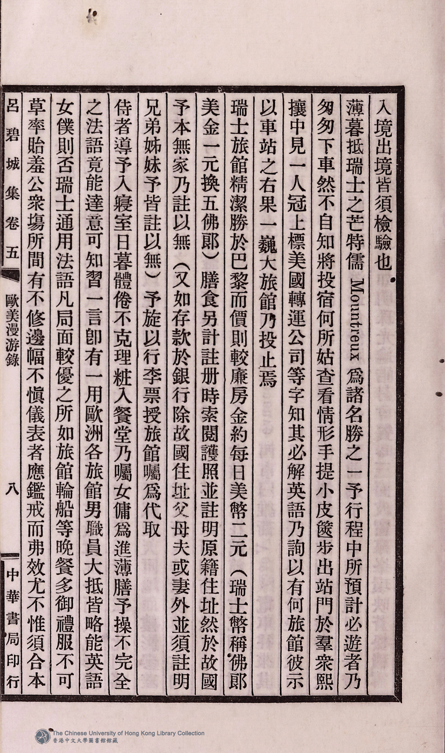
| (PRINT FRIENDLY VERSION) 呂碧城集:五卷(民國呂碧城撰) ![]() 頁碼 : 5.8a | 点 击 放 大 | 呂碧城集:五卷(民國呂碧城撰)![]() 頁碼 : 5.7b | 点 击 放 大 | 呂碧城集:五卷(民國呂碧城撰)![]() 頁碼 : 5.7a | 点 击 放 大 | 呂碧城集:五卷(民國呂碧城撰)![]() 頁碼 : 5.6b | 点 击 放 大 |
|---|---|---|---|---|---|---|---|
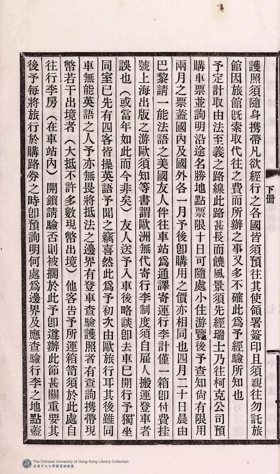
呂碧城集:五卷(民國呂碧城撰)![]() 頁碼 : 5.8b | 点 击 放 大 | 返回 |













