詩詞 [義京羅馬]
| 文﹕記 |
| 作者: 呂碧城 Lü Bicheng |
| 原書: 呂碧城集:五卷(民國呂碧城撰) |
| 作品圖片: |
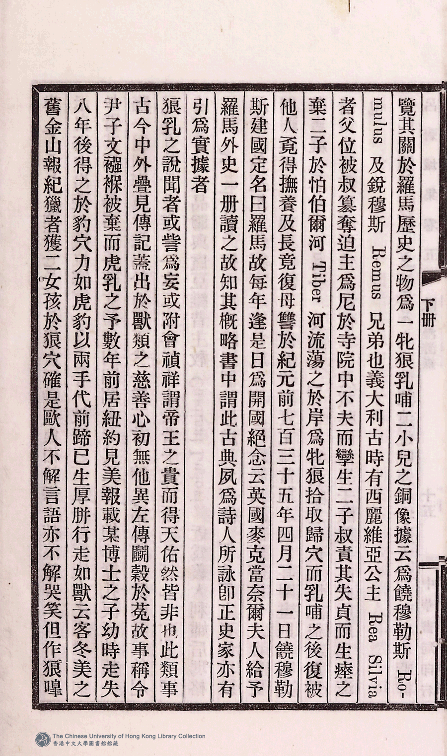
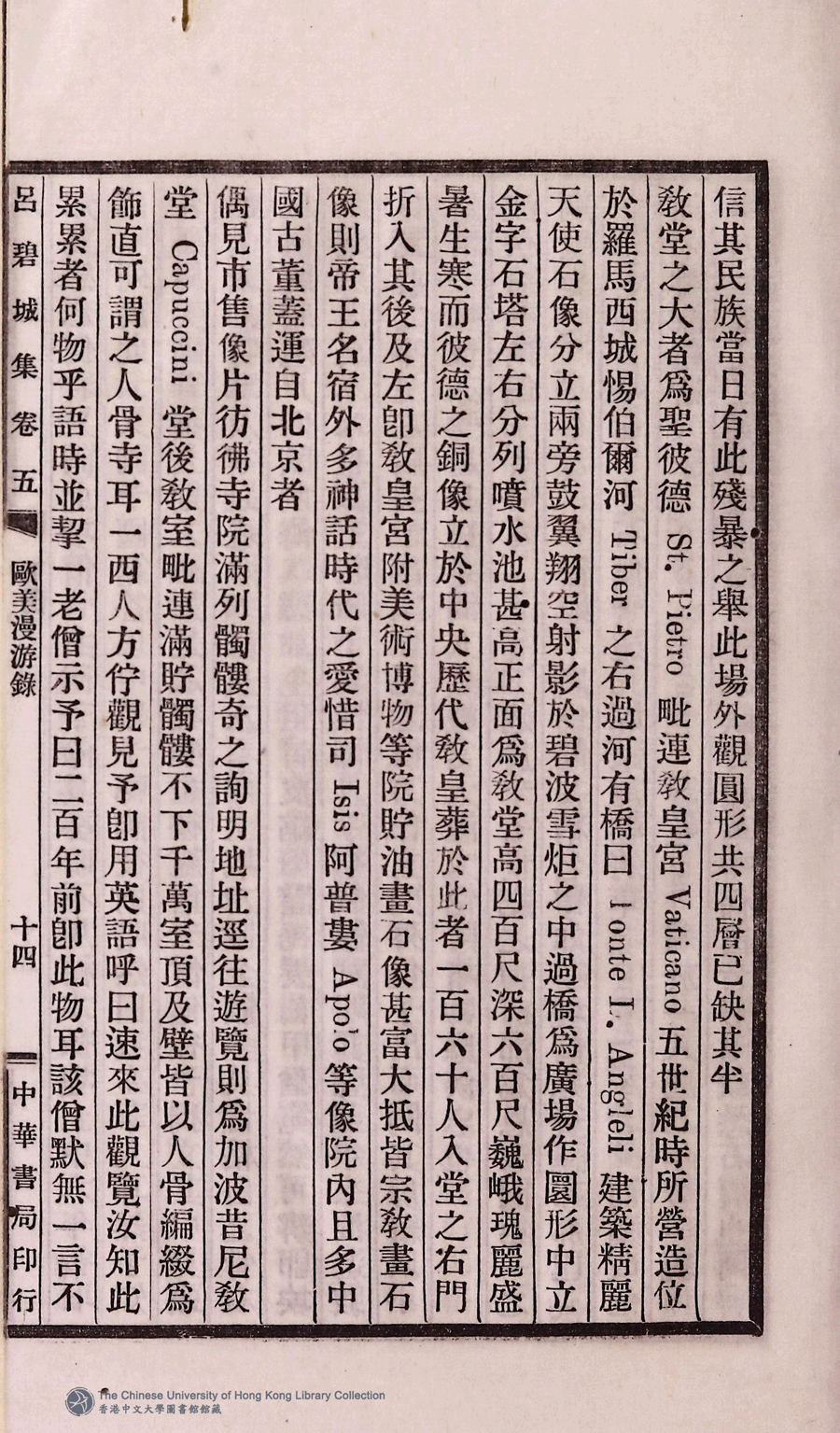
| (PRINT FRIENDLY VERSION) 呂碧城集:五卷(民國呂碧城撰) ![]() 頁碼 : 5.14b | 点 击 放 大 | 呂碧城集:五卷(民國呂碧城撰)![]() 頁碼 : 5.14a | 点 击 放 大 | 呂碧城集:五卷(民國呂碧城撰)![]() 頁碼 : 5.13b | 点 击 放 大 | 呂碧城集:五卷(民國呂碧城撰)![]() 頁碼 : 5.13a | 点 击 放 大 |
|---|---|---|---|---|---|---|---|
呂碧城集:五卷(民國呂碧城撰)![]() 頁碼 : 5.16b | 点 击 放 大 | 呂碧城集:五卷(民國呂碧城撰)![]() 頁碼 : 5.16a | 点 击 放 大 | 呂碧城集:五卷(民國呂碧城撰)![]() 頁碼 : 5.15b | 点 击 放 大 | 呂碧城集:五卷(民國呂碧城撰)![]() 頁碼 : 5.15a | 点 击 放 大 | 第 1 頁 2 | 返回 | << | < | > | >> |
















