詩詞 [文痞文匪之可悲]
| 文﹕記 |
| 作者: 呂碧城 Lü Bicheng |
| 原書: 呂碧城集:五卷(民國呂碧城撰) |
| 作品圖片: |
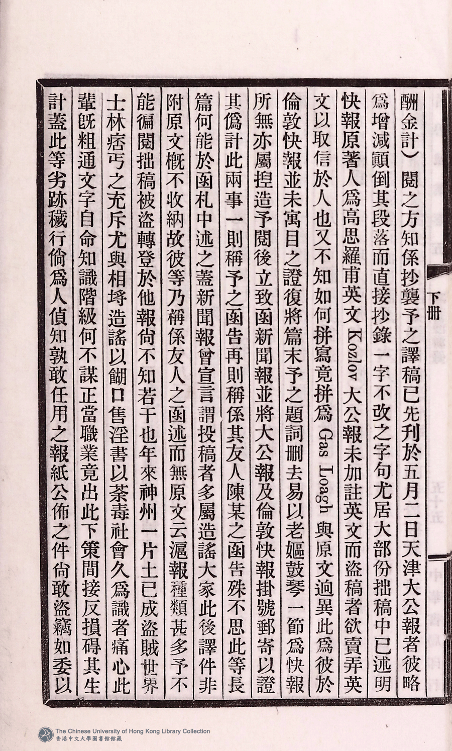
| (PRINT FRIENDLY VERSION) 呂碧城集:五卷(民國呂碧城撰)。中華書局出版,民國十八年(1929)九月印刷發行 ![]() 頁碼 : 5.56a | 点 击 放 大 | 呂碧城集:五卷(民國呂碧城撰)。中華書局出版,民國十八年(1929)九月印刷發行![]() 頁碼 : 5.55b | 点 击 放 大 | 呂碧城集:五卷(民國呂碧城撰)。中華書局出版,民國十八年(1929)九月印刷發行![]() 頁碼 : 5.55a | 点 击 放 大 | 返回 |
|---|











