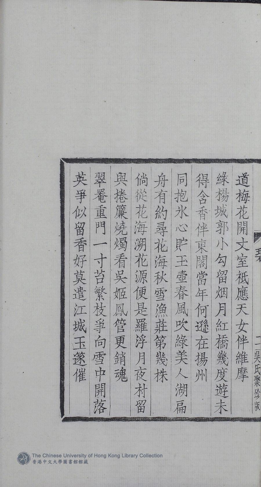
詩詞 [爲頤道夫子畫梅花燈屏各系以詩(十六首)]
| 七言絕句 |
| 作者: 錢守璞 Qian Shoupu |
| 原書: 碧城仙館女弟子詩(十種) |
| 作品圖片: |
| (PRINT FRIENDLY VERSION) 碧城仙館女弟子詩(十種)。民國四年(1915)七月西冷印社吳隱石潛聚珍版印 ![]() 頁碼 : 8.3b | 点 击 放 大 | 碧城仙館女弟子詩(十種)。民國四年(1915)七月西冷印社吳隱石潛聚珍版印![]() 頁碼 : 8.3a | 点 击 放 大 | 碧城仙館女弟子詩(十種)。民國四年(1915)七月西冷印社吳隱石潛聚珍版印![]() 頁碼 : 8.2b | 点 击 放 大 | 碧城仙館女弟子詩(十種)。民國四年(1915)七月西冷印社吳隱石潛聚珍版印![]() 頁碼 : 8.2a | 点 击 放 大 | 返回 |
|---|












