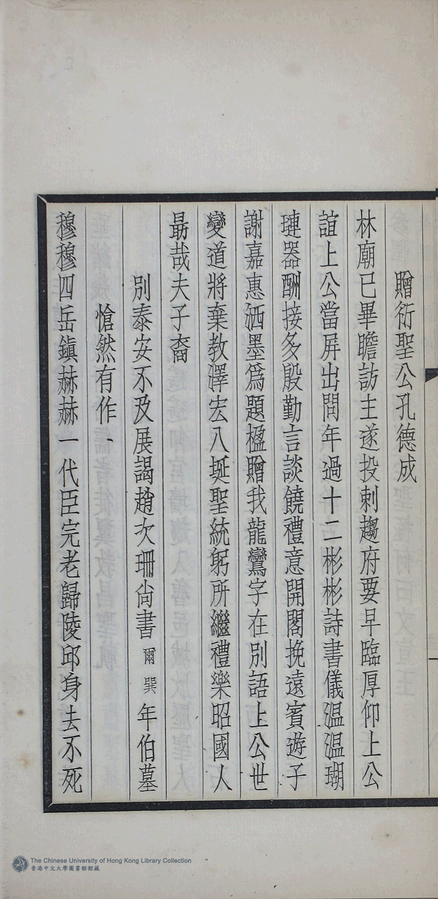
詩詞 [別泰安不及展謁趙次珊尚書爾巽年伯墓愴然有作]
| 五言古詩 |
| 作者: 呂美蓀 Lü Meisun |
| 原書: 葂麗園詩續:一卷(民國呂美蓀撰) |
| 作品圖片: |
| (PRINT FRIENDLY VERSION) 葂麗園詩續:一卷(民國呂美蓀撰)。民國二十二年(1933)仿宋排印本 ![]() 頁碼 : 詩續.14a | 点 击 放 大 | 葂麗園詩續:一卷(民國呂美蓀撰)。民國二十二年(1933)仿宋排印本![]() 頁碼 : 詩續.13b | 点 击 放 大 | 返回 |
|---|
| 五言古詩 |
| 作者: 呂美蓀 Lü Meisun |
| 原書: 葂麗園詩續:一卷(民國呂美蓀撰) |
| 作品圖片: |
| (PRINT FRIENDLY VERSION) 葂麗園詩續:一卷(民國呂美蓀撰)。民國二十二年(1933)仿宋排印本 ![]() 頁碼 : 詩續.14a | 点 击 放 大 | 葂麗園詩續:一卷(民國呂美蓀撰)。民國二十二年(1933)仿宋排印本![]() 頁碼 : 詩續.13b | 点 击 放 大 | 返回 |
|---|