詩詞 [翁之廉跋]
| 文﹕跋 |
| 作者: 翁之廉 Weng Zhilian |
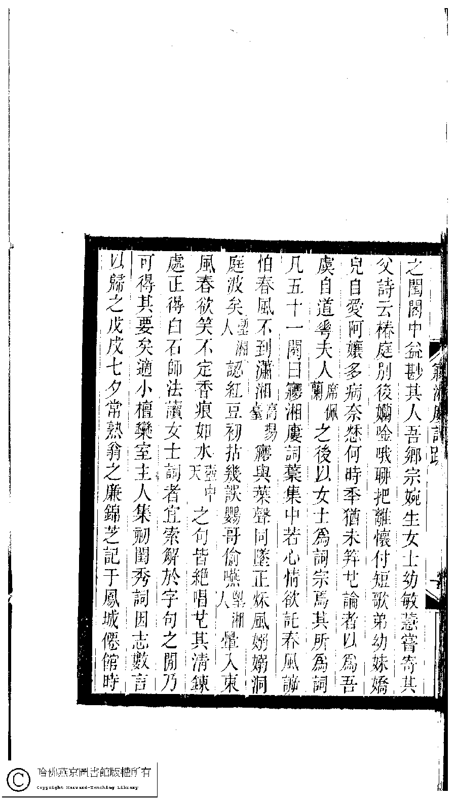
| 原書: 小檀欒室彙刻閨秀詞﹕十集一百種一百卷(清徐乃昌輯): 夢湘樓詞﹕一卷 |
| 作品圖片: |
| (PRINT FRIENDLY VERSION) 小檀欒室彙刻閨秀詞﹕十集一百種一百卷(清徐乃昌輯) : 夢湘樓詞﹕一卷。清光緒二十二年(1896)南陵徐氏刻本。 ![]() 頁碼 : 跋.2b | 点 击 放 大 | 小檀欒室彙刻閨秀詞﹕十集一百種一百卷(清徐乃昌輯) : 夢湘樓詞﹕一卷。清光緒二十二年(1896)南陵徐氏刻本。![]() 頁碼 : 跋.2a | 点 击 放 大 | 小檀欒室彙刻閨秀詞﹕十集一百種一百卷(清徐乃昌輯) : 夢湘樓詞﹕一卷。清光緒二十二年(1896)南陵徐氏刻本。![]() 頁碼 : 跋.1b | 点 击 放 大 | 小檀欒室彙刻閨秀詞﹕十集一百種一百卷(清徐乃昌輯) : 夢湘樓詞﹕一卷。清光緒二十二年(1896)南陵徐氏刻本。![]() 頁碼 : 跋.1a | 点 击 放 大 | 返回 |
|---|












