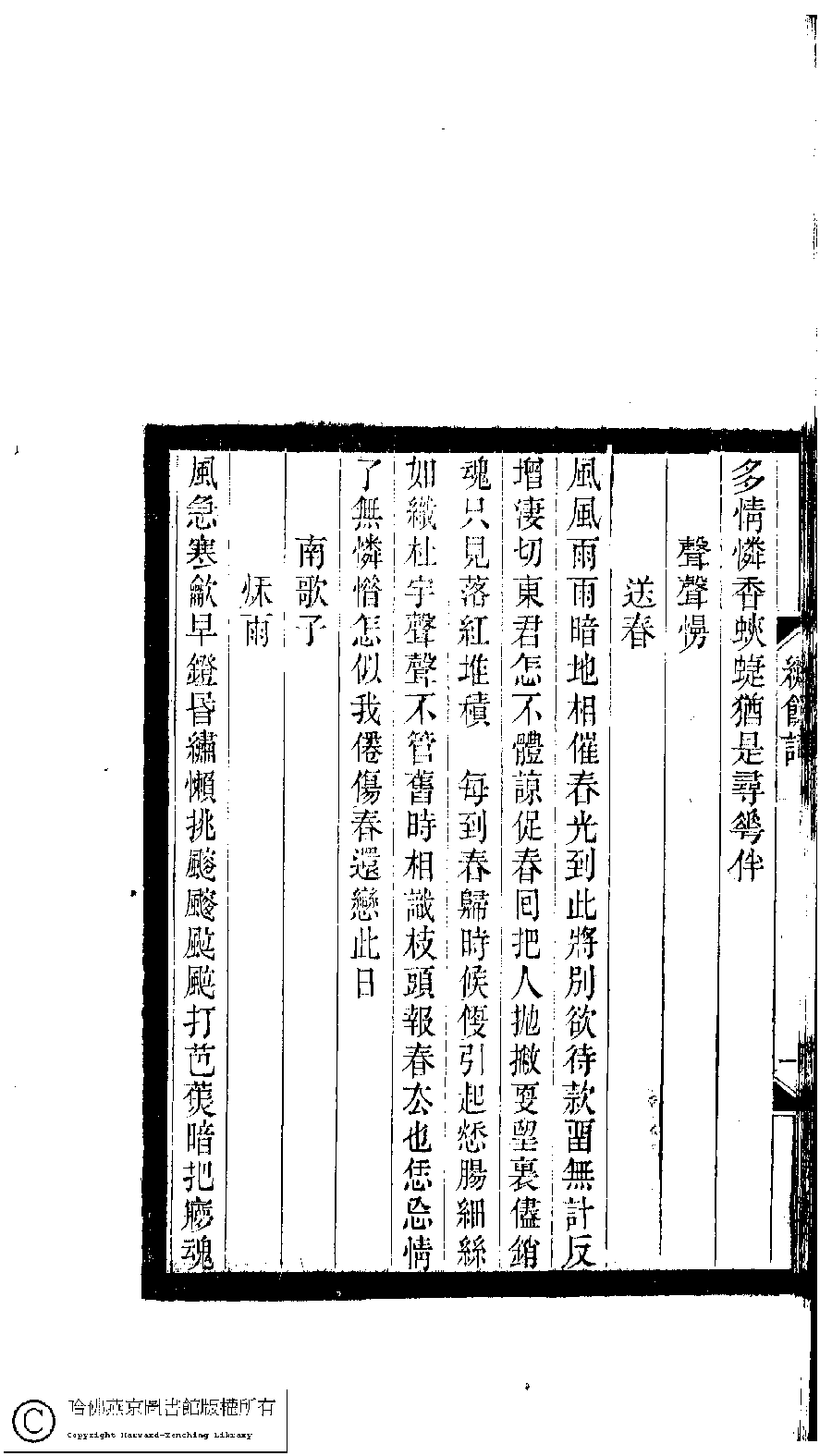
詩詞 [南歌子 ﹕秋雨]
| 作者: 錢念生 Qian Niansheng |
| 原書: 小檀欒室彙刻閨秀詞﹕十集一百種一百卷(清徐乃昌輯): 繡餘詞﹕一卷 |
| 作品圖片: |
| (PRINT FRIENDLY VERSION) 小檀欒室彙刻閨秀詞﹕十集一百種一百卷(清徐乃昌輯) : 繡餘詞﹕一卷。清光緒二十二年(1896)南陵徐氏刻本。 ![]() 頁碼 : 繡餘詞.2a | 点 击 放 大 | 小檀欒室彙刻閨秀詞﹕十集一百種一百卷(清徐乃昌輯) : 繡餘詞﹕一卷。清光緒二十二年(1896)南陵徐氏刻本。![]() 頁碼 : 繡餘詞.1b | 点 击 放 大 | 返回 |
|---|










