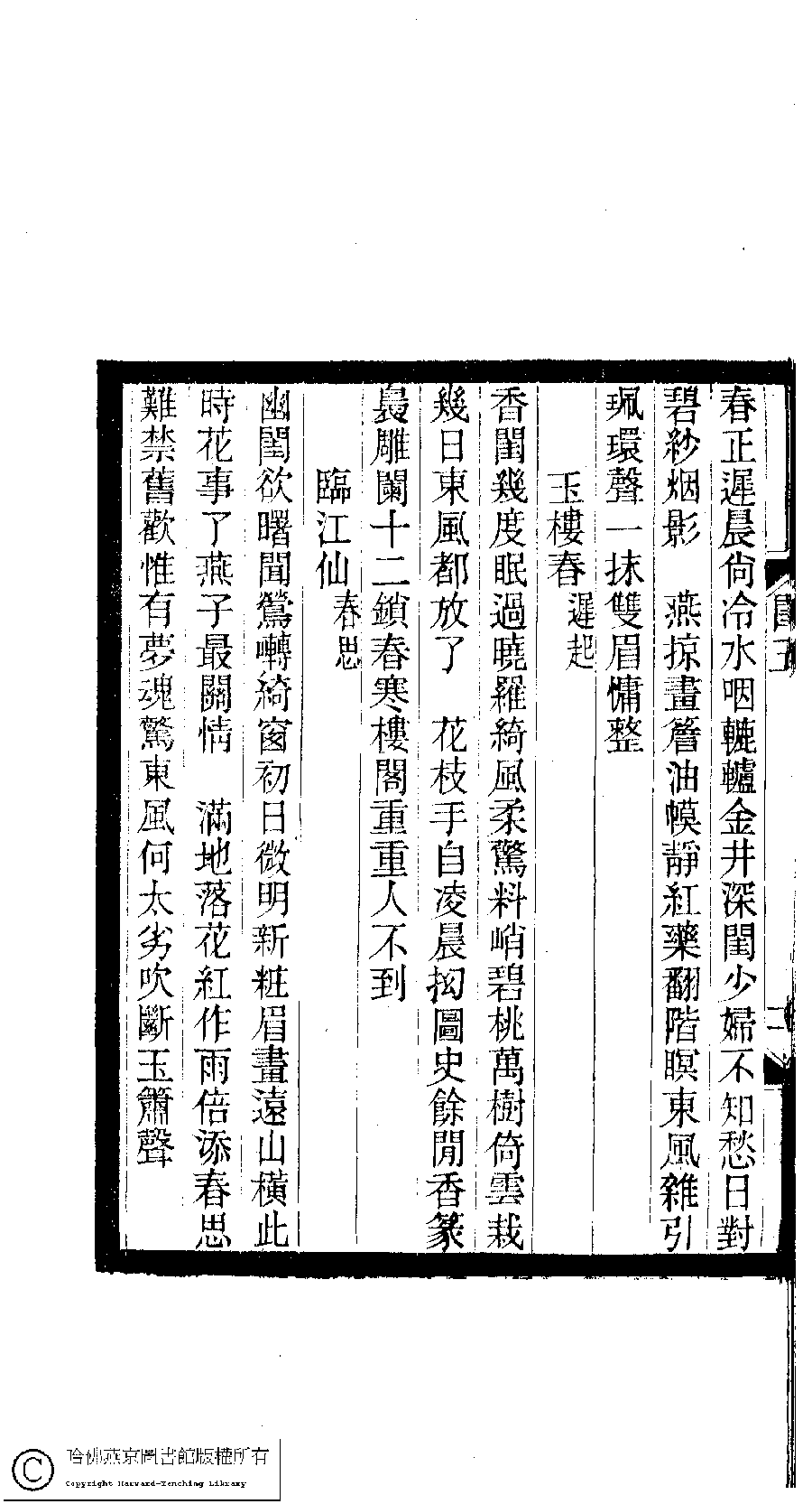
Poem [Lin jiang xian : Chun si]
| Author: 楊澂 Yang Cheng |
| Appears in: Gui xiu ci chao: 16 juan (edited by Xu Naichang, Qing dynasty) |
| Page images: |
| (PRINT FRIENDLY VERSION) 閨秀詞鈔﹕十六卷(清徐乃昌輯)。清宣統元年(1909)小檀欒室刻本。 ![]() Page : 5.11b | click for larger image | Back |
|---|
| Author: 楊澂 Yang Cheng |
| Appears in: Gui xiu ci chao: 16 juan (edited by Xu Naichang, Qing dynasty) |
| Page images: |
| (PRINT FRIENDLY VERSION) 閨秀詞鈔﹕十六卷(清徐乃昌輯)。清宣統元年(1909)小檀欒室刻本。 ![]() Page : 5.11b | click for larger image | Back |
|---|