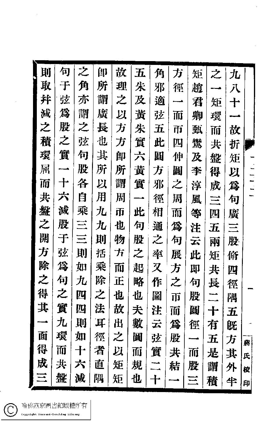
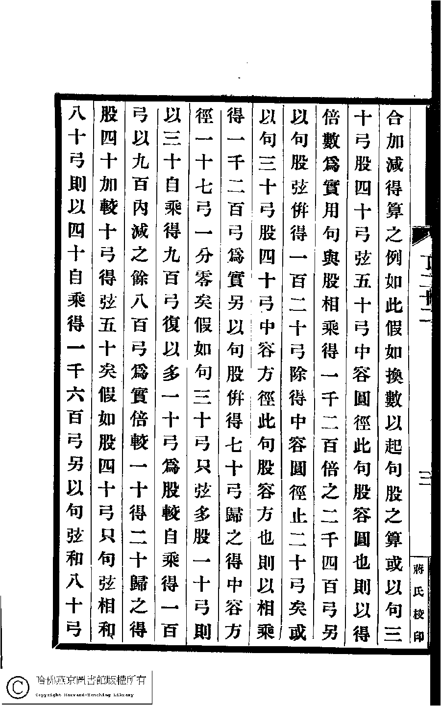
Poem [Gou gu san jiao jie]
| wen |
| Author: 王貞儀 Wang Zhenyi |
| Appears in: De feng ting chu ji: 13 juan (by Wang Zhenyi, Qing dynasty) |
| Page images: |
| (PRINT FRIENDLY VERSION) 德風亭初集﹕十三卷(清王貞儀撰) ![]() Page : 7.2b | click for larger image | 德風亭初集﹕十三卷(清王貞儀撰)![]() Page : 7.2a | click for larger image | 德風亭初集﹕十三卷(清王貞儀撰)![]() Page : 7.1b | click for larger image | 德風亭初集﹕十三卷(清王貞儀撰)![]() Page : 7.1a | click for larger image |
|---|---|---|---|---|---|---|---|
德風亭初集﹕十三卷(清王貞儀撰)![]() Page : 7.4b | click for larger image | 德風亭初集﹕十三卷(清王貞儀撰)![]() Page : 7.4a | click for larger image | 德風亭初集﹕十三卷(清王貞儀撰)![]() Page : 7.3b | click for larger image | 德風亭初集﹕十三卷(清王貞儀撰)![]() Page : 7.3a | click for larger image | Page 1 of 2 | Back | << | < | > | >> |
















