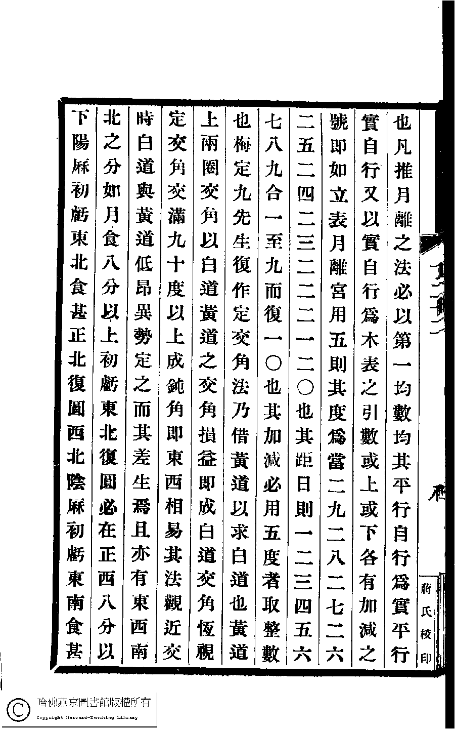
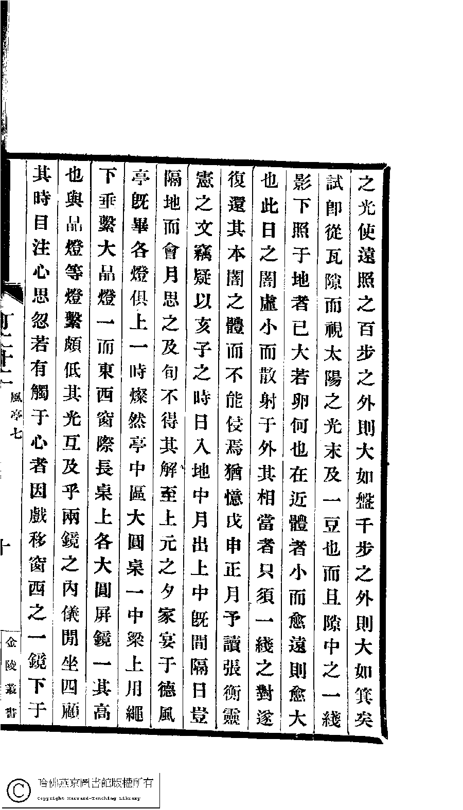
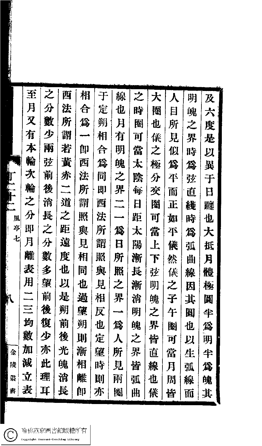
Poem [Yue shi jie]
| wen |
| Author: 王貞儀 Wang Zhenyi |
| Appears in: De feng ting chu ji: 13 juan (by Wang Zhenyi, Qing dynasty) |
| Page images: |
| (PRINT FRIENDLY VERSION) 德風亭初集﹕十三卷(清王貞儀撰) ![]() Page : 7.8b | click for larger image | 德風亭初集﹕十三卷(清王貞儀撰)![]() Page : 7.8a | click for larger image | 德風亭初集﹕十三卷(清王貞儀撰)![]() Page : 7.7b | click for larger image | 德風亭初集﹕十三卷(清王貞儀撰)![]() Page : 7.7a | click for larger image |
|---|---|---|---|---|---|---|---|
德風亭初集﹕十三卷(清王貞儀撰)![]() Page : 7.10b | click for larger image | 德風亭初集﹕十三卷(清王貞儀撰)![]() Page : 7.10a | click for larger image | 德風亭初集﹕十三卷(清王貞儀撰)![]() Page : 7.9b | click for larger image | 德風亭初集﹕十三卷(清王貞儀撰)![]() Page : 7.9a | click for larger image | Page 1 of 2 | Back | << | < | > | >> |
















