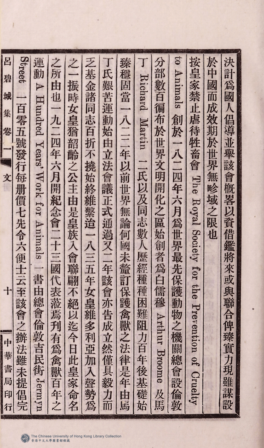
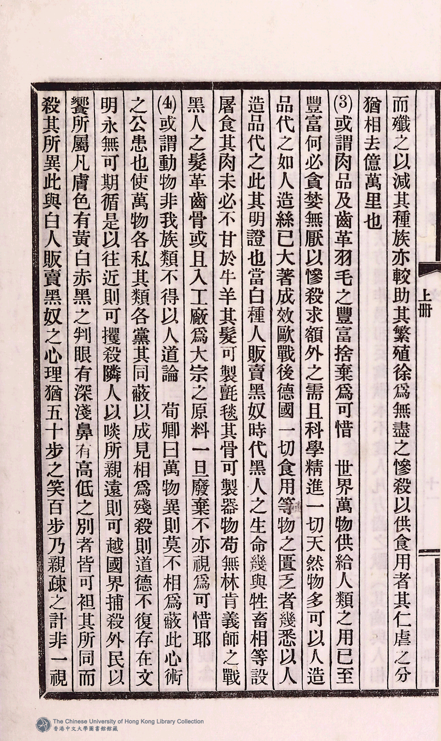
Poem [Mou chuang Zhongguo bao hu dong wu hui zhi yuan qi]
| Wen: Ji |
| Author: 呂碧城 Lü Bicheng |
| Appears in: Lü Bicheng ji: 5 juan (by Lü Bicheng, Republican period) |
| Page images: |
| (PRINT FRIENDLY VERSION) 呂碧城集:五卷(民國呂碧城撰) ![]() Page : 1.11a | click for larger image | 呂碧城集:五卷(民國呂碧城撰)![]() Page : 1.10b | click for larger image | 呂碧城集:五卷(民國呂碧城撰)![]() Page : 1.10a | click for larger image | 呂碧城集:五卷(民國呂碧城撰)![]() Page : 1.9b | click for larger image |
|---|---|---|---|---|---|---|---|
呂碧城集:五卷(民國呂碧城撰)![]() Page : 1.12a | click for larger image | 呂碧城集:五卷(民國呂碧城撰)![]() Page : 1.11b | click for larger image | Back |














